Ответы
Ответ дал:
0
Преобразуем:
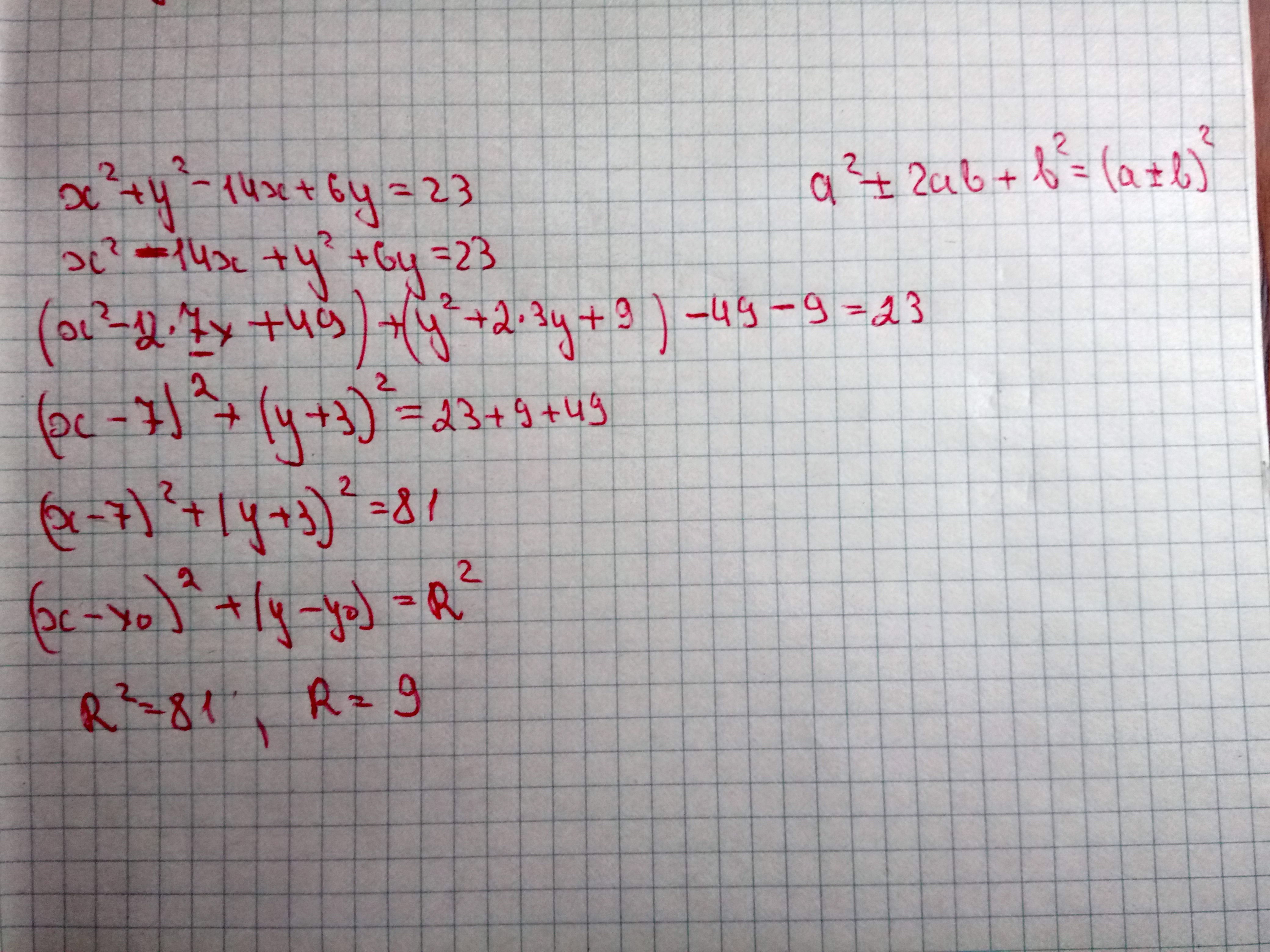
х² - 14х + у² + 6у - 23 = 0
х² - 14х + 49 + у² + 6у + 9 - 23 - 49 - 9 = 0
(х - 7)² + (у + 3)² - 81 = 0
(х - 7)² + (у + 3)² = 81
Получилось уравнение круга с центром в точке (7; -3)
(х - а)² + (у - b)² = R² => R = √81 = 9
Ответ: 9
х² - 14х + у² + 6у - 23 = 0
х² - 14х + 49 + у² + 6у + 9 - 23 - 49 - 9 = 0
(х - 7)² + (у + 3)² - 81 = 0
(х - 7)² + (у + 3)² = 81
Получилось уравнение круга с центром в точке (7; -3)
(х - а)² + (у - b)² = R² => R = √81 = 9
Ответ: 9
Ответ дал:
0
Решение задания приложено
Приложения:
Вас заинтересует
2 года назад
2 года назад
3 года назад
9 лет назад
10 лет назад