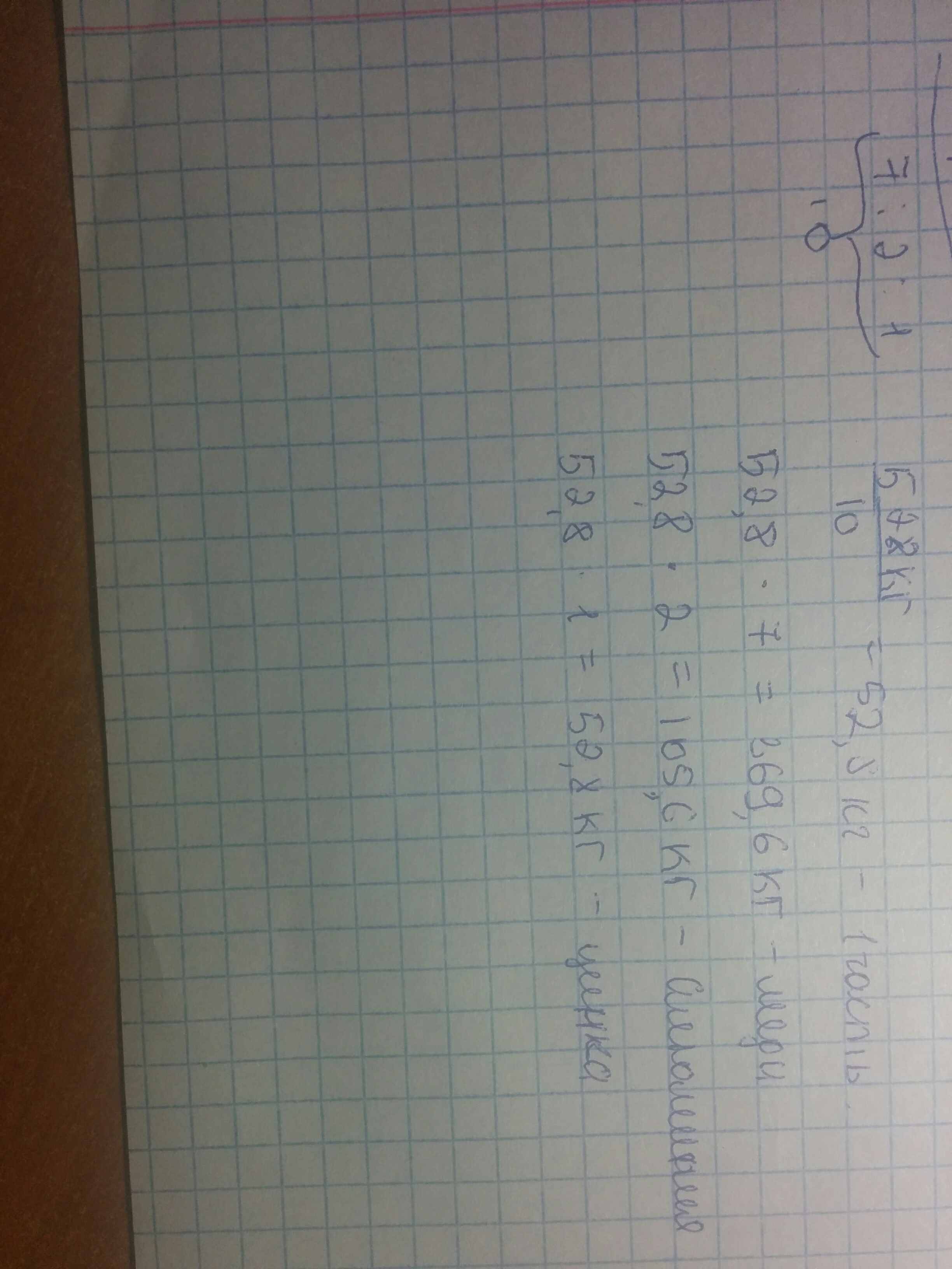
сплав состоит из меди,алюминия и цинка, взятых в отношении 7:2:1.
определи сколько надо взять каждого из этих веществ,чтобы получить 528 кг сплава.
Ответы
Ответ дал:
0
Держи))))))))))))))))))
Приложения:

Вас заинтересует
2 года назад
2 года назад
3 года назад
9 лет назад
9 лет назад
10 лет назад