• Предмет: Алгебра
  • Автор: Dick666
  • Вопрос задан 9 лет назад

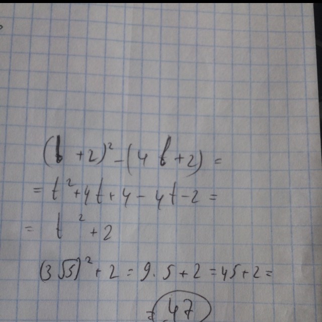
Упростите выражение (t+2)²-(4t+2) и найдите его значение при t = 3√5

С решением !

Ответы

Ответ дал: OPetroW
0

Сделал на фотографии. Если что-то не понятно, спрашивай)
Приложения:
Ответ дал: полина1633
0
вот держи ))))))))))))))
Приложения:
Вас заинтересует