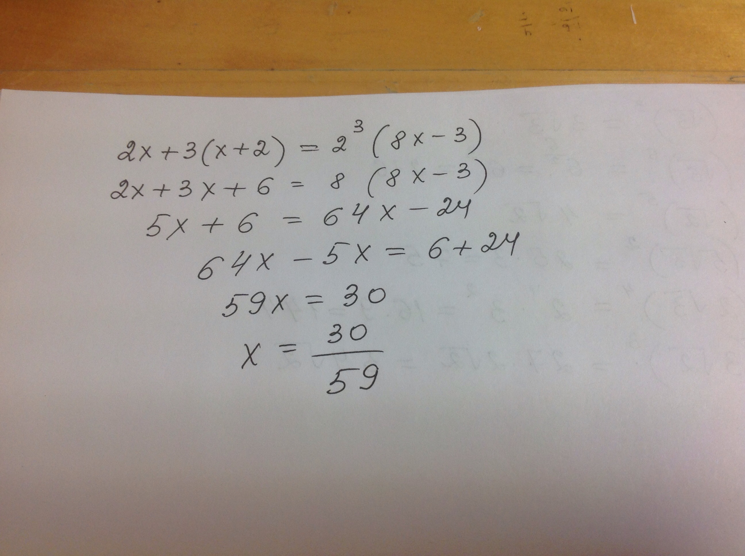
решите уравнение,используя теоремы о равносильности уравнений и правила тождественных преобразований. Обоснуйте каждый шаг:2x+3(x+2)=2^3(8x-3)
Ответы
Ответ дал:
0
Решение смотри на фото
Приложения:

Вас заинтересует
2 года назад
2 года назад
3 года назад
9 лет назад
9 лет назад
10 лет назад