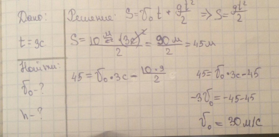
Камень, брошенный вертикально вверх, возвратился к месту броска через t =3c . С какой скоростью был брошен камень? Сопротивлением воздуха пренебречь.
Ответы
Ответ дал:
0
надеюсь на то, что поймешь
Приложения:

Вас заинтересует
2 года назад
3 года назад
3 года назад
9 лет назад
10 лет назад