• Предмет: Алгебра
  • Автор: FatCatBrainly
  • Вопрос задан 9 лет назад

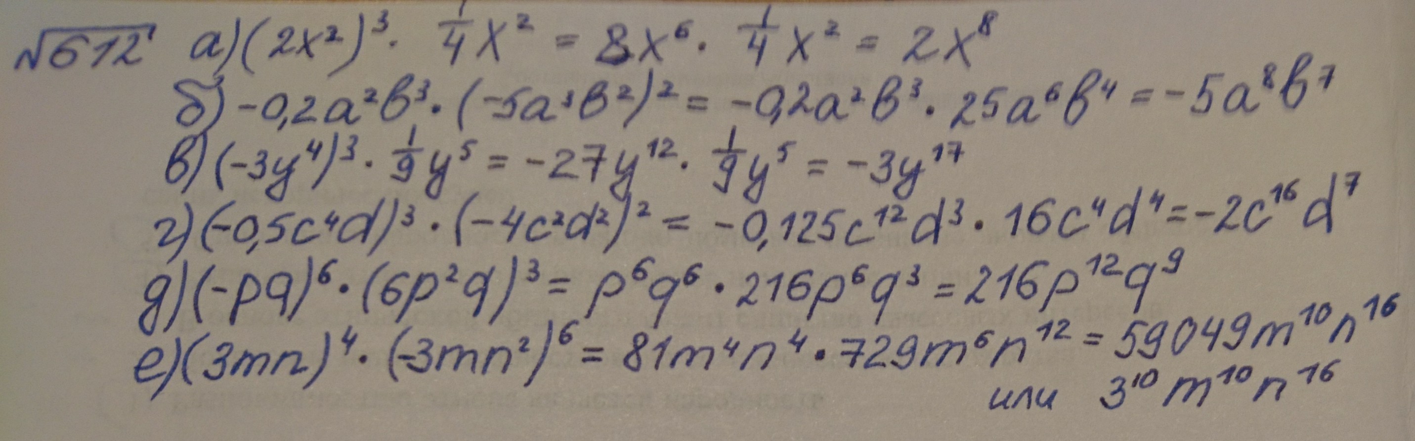
Номер 612 (где)
Кот отблагодарит....
Желательно на листе бумаги

Приложения:

Ответы

Ответ дал: Хуqожнuк
0
Решение во вложении.
Приложения:
Вас заинтересует