• Предмет: Математика
  • Автор: OrbisDjMaN
  • Вопрос задан 9 лет назад

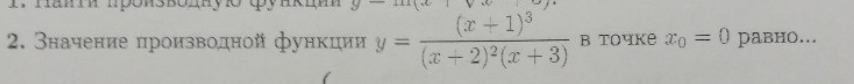
помогите решить данный пример

Приложения:

Ответы

Ответ дал: nelle987
0
ln y=3ln(x+1)-2ln(x+2)-ln(x+3)\
dfrac{y'}y=dfrac3{x+1}-dfrac2{x+2}-dfrac1{x+3}\
y'(0)=y(0)left(dfrac3{0+1}-dfrac2{x+2}-dfrac1{x+3}right)=dfrac1{12}cdotdfrac53=dfrac5{36}
Вас заинтересует