Ответы
Ответ дал:
0
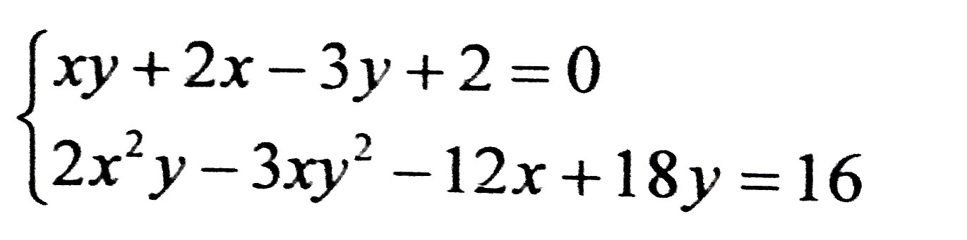
2х²у - 3ху² -12х + 18у = 16
(2х²у - 12х) + (-3ху² + 18у) = 16
2х(ху - 6) - 3у(ху - 6) = 16
(ху - 6)(2х - 3у) = 16 - преобразовали 2-е уравнение
ху + 2х - 3у + 2 = 0
(2х - 3у) + ху + 2 = 0 - преобразовали 1-е уравнение
Обозначим 2х - 3у = а, ху = b. Получим систему уравнений:
a + b + 2 = 0 a = -b - 2 a = -b - 2
(b - 6)a = 16 (b - 6)(-b - 2) = 16 -(b - 6)(b + 2 ) = 16
Решим уравнение -(b - 6)(b + 2 ) = 16
-(b² + 2b - 6b - 12) = 16
b² - 4b - 12 = -16
b² - 4b + 4 = 0
(b - 2)² = 0
b = 2
тогда а = - 2 - 2 = -4
Вернемся к введенным обозначениям:
2х - 3у = -4 х = (3у -4)/2
ху = 2 (3у - 4)/2 · у = 2
Решим уравнение (3у - 4)/2 · у = 2
(3у - 4)у = 4
3у² - 4у - 4 = 0
D = (-4)² - 4 · 3 (-4) = 16 + 48 = 64; √64 = 8
y₁ = (4 + 8)/6 = 2
у₂ = (4 - 8)/6 = -2/3
Тогда х₁ = (3 · 2 - 4)/2 = 1
х₂ = (3 · (-2/3) - 4)/2 = -3
Ответ: (1; 2) и 9-3; -2/3).
(2х²у - 12х) + (-3ху² + 18у) = 16
2х(ху - 6) - 3у(ху - 6) = 16
(ху - 6)(2х - 3у) = 16 - преобразовали 2-е уравнение
ху + 2х - 3у + 2 = 0
(2х - 3у) + ху + 2 = 0 - преобразовали 1-е уравнение
Обозначим 2х - 3у = а, ху = b. Получим систему уравнений:
a + b + 2 = 0 a = -b - 2 a = -b - 2
(b - 6)a = 16 (b - 6)(-b - 2) = 16 -(b - 6)(b + 2 ) = 16
Решим уравнение -(b - 6)(b + 2 ) = 16
-(b² + 2b - 6b - 12) = 16
b² - 4b - 12 = -16
b² - 4b + 4 = 0
(b - 2)² = 0
b = 2
тогда а = - 2 - 2 = -4
Вернемся к введенным обозначениям:
2х - 3у = -4 х = (3у -4)/2
ху = 2 (3у - 4)/2 · у = 2
Решим уравнение (3у - 4)/2 · у = 2
(3у - 4)у = 4
3у² - 4у - 4 = 0
D = (-4)² - 4 · 3 (-4) = 16 + 48 = 64; √64 = 8
y₁ = (4 + 8)/6 = 2
у₂ = (4 - 8)/6 = -2/3
Тогда х₁ = (3 · 2 - 4)/2 = 1
х₂ = (3 · (-2/3) - 4)/2 = -3
Ответ: (1; 2) и 9-3; -2/3).
Вас заинтересует
2 года назад
3 года назад
9 лет назад
9 лет назад
10 лет назад
10 лет назад