• Предмет: Математика
  • Автор: yakubovskiytos
  • Вопрос задан 9 лет назад

2,3 решите пожайлуста 2,3 объясните решением

Приложения:

Ответы

Ответ дал: Trover
0
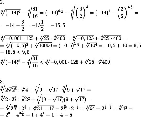
2.\sqrt[6]{(-14)^6}-sqrt[4]{frac{81}{16}}=(-14)^{6cdotfrac16}-sqrt[4]{left(frac32right)^4}=(-14)^1-left(frac32right)^{4cdotfrac14}=\=-14-frac32=-15frac12=-15,5\\sqrt[3]{-0,001cdot125}+sqrt[4]{25}cdotsqrt[4]{400}=sqrt[3]{-0,125}+sqrt[4]{25cdot400}=\=sqrt[3]{(-0,5)^3}+sqrt[4]{10000}=(-0,5)^{3cdotfrac13}+sqrt[4]{10^4}=-0,5+10=9,5\-15,5 textless  9,5\sqrt[6]{(-14)^6}-sqrt[4]{frac{81}{16}} textless  sqrt[3]{-0,001cdot125}+sqrt[4]{25}cdotsqrt[4]{400}

3.\sqrt[6]{2sqrt[7]{2^5}}:sqrt[7]{4}+sqrt[3]{9-sqrt{17}}cdotsqrt[3]{9+sqrt{17}}=\sqrt[6]{2cdot2^{frac57}}:sqrt[7]{2^2}+sqrt[3]{(9-sqrt{17})(9+sqrt{17})}=\=sqrt[6]{2^{frac{12}7}}:2^{frac27}+sqrt[3]{81-17}=2^{frac{12}{42}}cdot2^{-frac27}+sqrt[3]{64}=2^{frac27-frac27}+sqrt[3]{4^3}=\=2^0+4^{3cdotfrac13}=1+4^1=1+4=5
Приложения:
Вас заинтересует