• Предмет: Математика
  • Автор: hus3ng
  • Вопрос задан 9 лет назад

Упростите выражение: (а+5)(а-4) - (а-2)(а+4)

Ответы

Ответ дал: MaxProtockiy
0
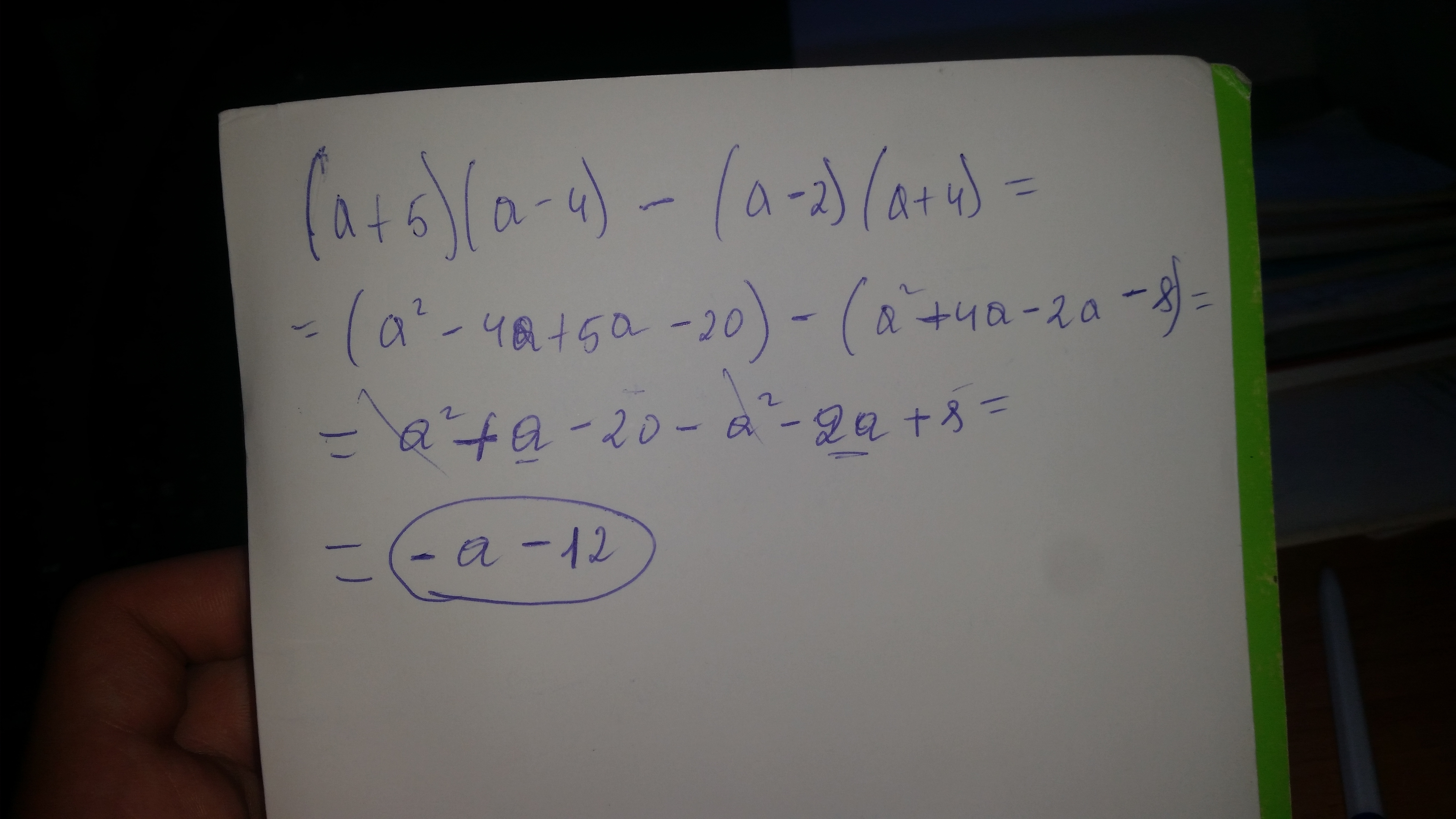
Решение на фотографии.
Приложения:
Ответ дал: ppp12
0
nadeyus ne oshibsyaaaaaa
Приложения:
Ответ дал: hus3ng
0
А может в ответе быть не -а-12, а -12-а?
Ответ дал: ppp12
0
da
Ответ дал: ppp12
0
smisle ne menyaetsya
Вас заинтересует