• Предмет: Математика
  • Автор: sander4eg
  • Вопрос задан 9 лет назад

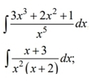
Вычислите неопределённые интегралы

Приложения:

Ответа на этот вопрос пока нет. Попробуйте найти его через форму поиска.

Вас заинтересует