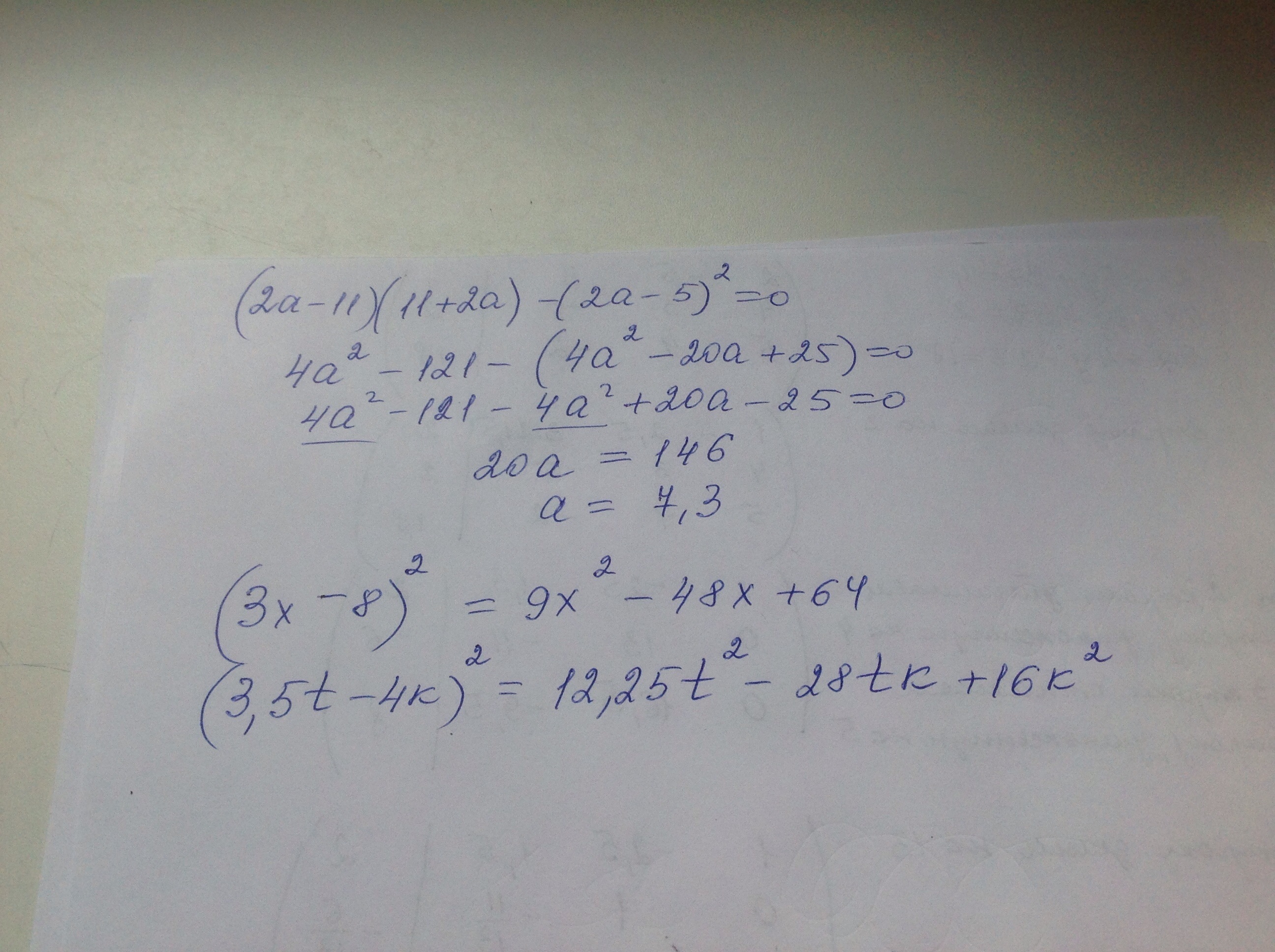
Решите уравнение ( 2а-11)(11+2а)-(2а-5)^2=0
Запишите в виде многочлена степени (3х-8у)^2
(3,5t-4k)^2
Ответы
Ответ дал:
0
Решение смотри на фото
Приложения:

Вас заинтересует
2 года назад
9 лет назад
9 лет назад
10 лет назад