• Предмет: Математика
  • Автор: Kryzo
  • Вопрос задан 9 лет назад

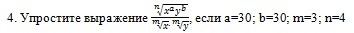
Напишите решения , буду благодарен

Приложения:

Ответы

Ответ дал: SRT1905
0
 frac{ sqrt[n]{x^ay^b} }{ sqrt[m]{x} * sqrt[m]{y} } = frac{xy^{ frac{a+b}{n} }}{xy^{ frac{2}{m} }} =(xy)^{ frac{a+b}{n} - frac{2}{m} } =(xy)^{ frac{30+30}{4} - frac{2}{3} } = (xy)^{ frac{45}{3} - frac{2}{3} } = (xy)^{ frac{43}{3} }
Вас заинтересует