• Предмет: Математика
  • Автор: Ryabushkin61
  • Вопрос задан 9 лет назад

Срочно! помогите прям срочно!

Приложения:

Ответы

Ответ дал: Ayka1231
0
31 целая 3/5. если не ошибаюсь
Ответ дал: Awatar11
0
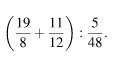
(19/8+11/12):5/48 =(57/24+22/24)*48/5=79/24*48/5=79/1*2/5=158/5=31 3/5=
  =31,6  
Вроде бы так))
Ответ дал: Ryabushkin61
0
Ох,спасибо огромное!))
Вас заинтересует