Ответы
Ответ дал:
0
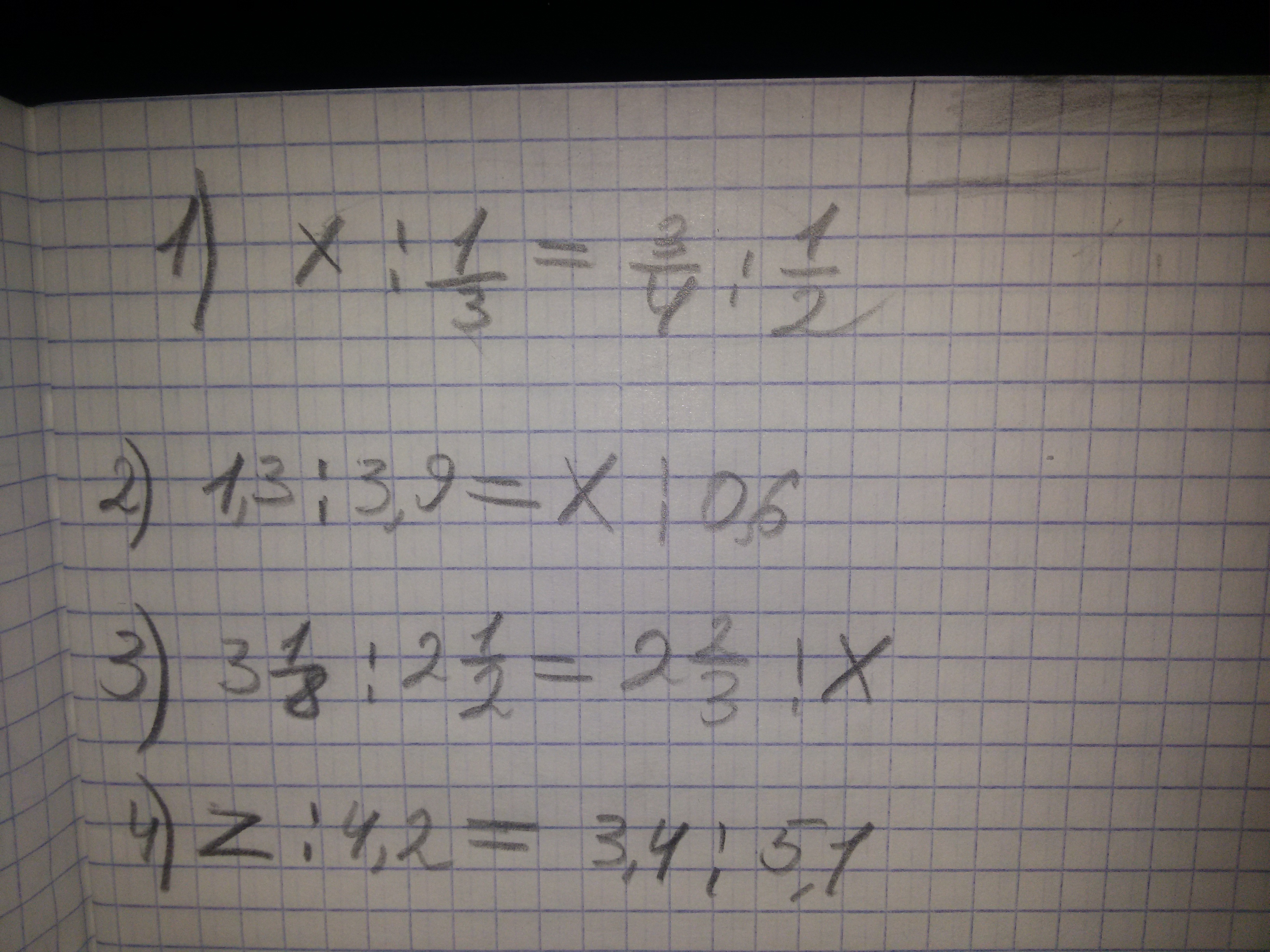
1) х:1/3=3/4:1/2
1/2*х=1/3*3/4 3 сокращаем
получается 1/2х=1/4
х=1/2:1/4
при деление меняем местами
х=1/2*4/1 4 и 2 сокращаем
х=2
2)1,3:3,9=х:0,6
3,9х=0,6*1,3
3,9х=7,8
х=7,8:3,9
х=2
Другие примеры также делаем
1/2*х=1/3*3/4 3 сокращаем
получается 1/2х=1/4
х=1/2:1/4
при деление меняем местами
х=1/2*4/1 4 и 2 сокращаем
х=2
2)1,3:3,9=х:0,6
3,9х=0,6*1,3
3,9х=7,8
х=7,8:3,9
х=2
Другие примеры также делаем
Вас заинтересует
2 года назад
2 года назад
3 года назад
3 года назад
9 лет назад
9 лет назад
10 лет назад