• Предмет: Математика
  • Автор: antontaekwondo
  • Вопрос задан 11 лет назад

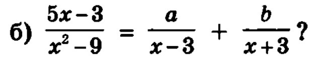
При каких значениях a и b выполняется тождество?

Приложения:

Ответы

Ответ дал: marksmuzyka
0
3a-3b=-3
ax+bx=5x

a-b=-1
a+b=5

те:
а=2
b=3

Вас заинтересует