Ответы
Ответ дал:
0
Думаю, что в условии опечатка, во второй скобке сумма двух чисел, вряд ли так было в первоисточнике. И всё-таки решаю то, что предложено.
Решение:
1-24+8х=-4+3х+6+15
8х-3х=-4+6+15-1+24
5х=40
х=40:5
х=8
Ответ: 8.
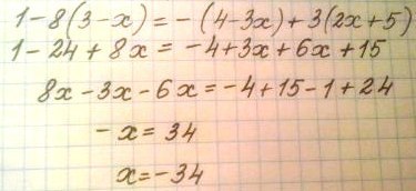
Если условие уравнения выглядит по-иному:
1-8(3-х)=-(4-3х)+3(2х+5), то решение во вложенном изображении.
Решение:
1-24+8х=-4+3х+6+15
8х-3х=-4+6+15-1+24
5х=40
х=40:5
х=8
Ответ: 8.
Если условие уравнения выглядит по-иному:
1-8(3-х)=-(4-3х)+3(2х+5), то решение во вложенном изображении.
Приложения:
Вас заинтересует
2 года назад
2 года назад
3 года назад
9 лет назад
9 лет назад
10 лет назад