пожалуйста очень срочно

Приложения:

Ответы

Ответ дал: Аноним
0
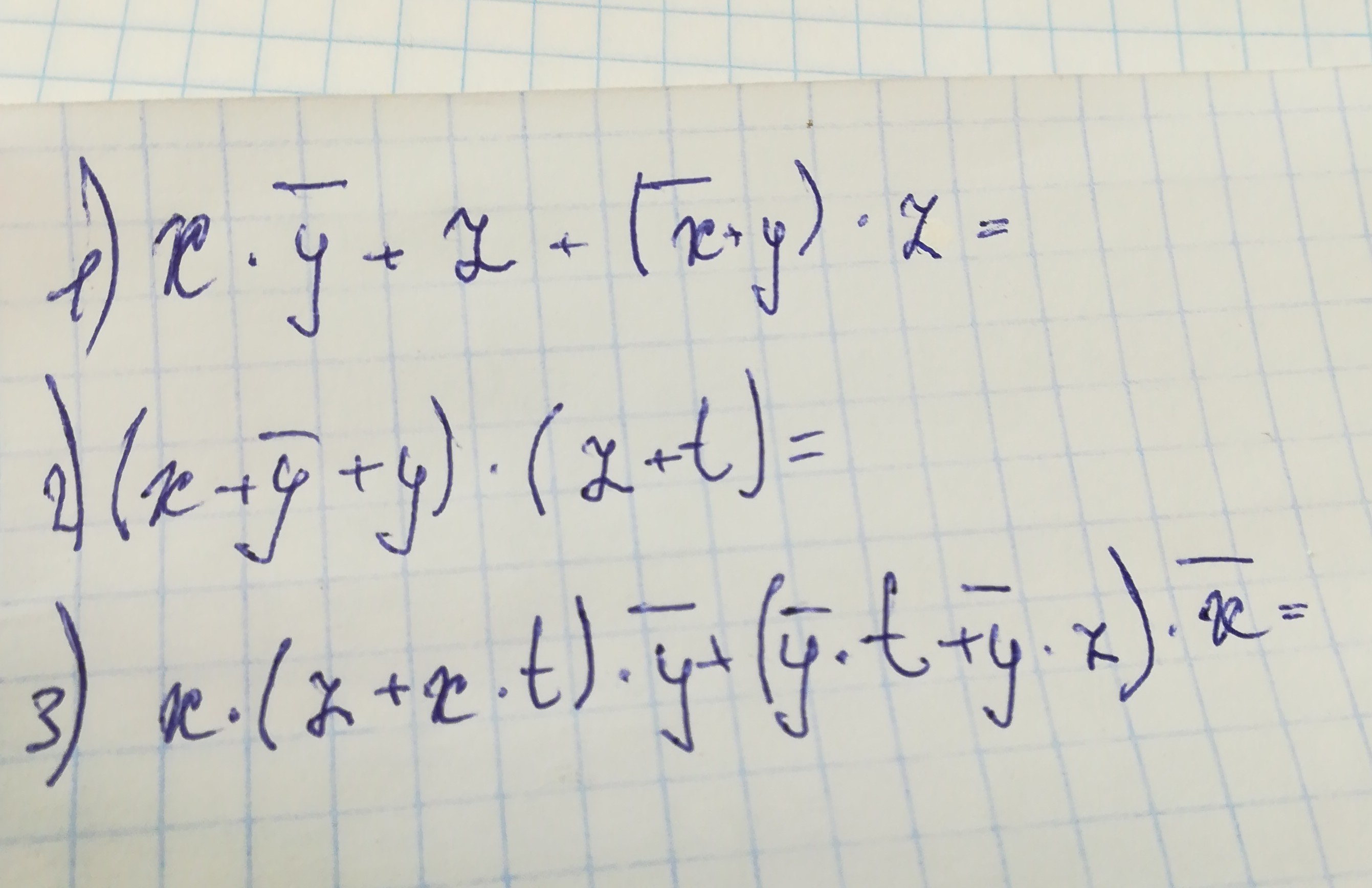
displaystyle 1. quad xoverline y+z+(overline x+y)z=xoverline y+z+overline xz+yz=xoverline y+z(1+overline x+y)=\ zcdot1=z  \  \ 
2. quad (x+overline y+y)(z+t)=(x+1)(z+t)=z+t \  \ 
3. quad x(z+xt)overline y+(overline yt+overline yz)overline x=xoverline yz+txoverline y+toverline x,overline y+overline x,overline yz= \ 
overline y(xz+tx+toverline x+overline xz)=overline y(z(x+overline x)+t(x+overline x))=overline y(z+t)= \ overline yz+toverline y
Вас заинтересует