Ответы
Ответ дал:
0
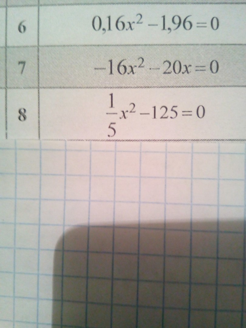
0.16x² - 1.96 = 0
0.16x² = 1.96 | : 0.16
x² = 12.25
x1 = √12.25 = 3.5
x2 = -√12.25 = -3.5
==================
-16x² - 20x = 0 |:4
-4x² - 5x = 0
x * (-4x - 5)=0
x1 = 0
-4x - 5 = 0
-4x = 5 |:(-4)
x2 = -1.25
==================
1/5 * x² - 125 = 0 | * 5
x² - 625 = 0
x² = 625
x1 = √625 = 25
x2 = -√625 = -25
0.16x² = 1.96 | : 0.16
x² = 12.25
x1 = √12.25 = 3.5
x2 = -√12.25 = -3.5
==================
-16x² - 20x = 0 |:4
-4x² - 5x = 0
x * (-4x - 5)=0
x1 = 0
-4x - 5 = 0
-4x = 5 |:(-4)
x2 = -1.25
==================
1/5 * x² - 125 = 0 | * 5
x² - 625 = 0
x² = 625
x1 = √625 = 25
x2 = -√625 = -25
Вас заинтересует
2 года назад
2 года назад
3 года назад
3 года назад
9 лет назад
9 лет назад
10 лет назад