• Предмет: Математика
  • Автор: Аноним
  • Вопрос задан 9 лет назад

Вычислите 542 номер 10баллов

Приложения:

Ответы

Ответ дал: Filippzzz
0
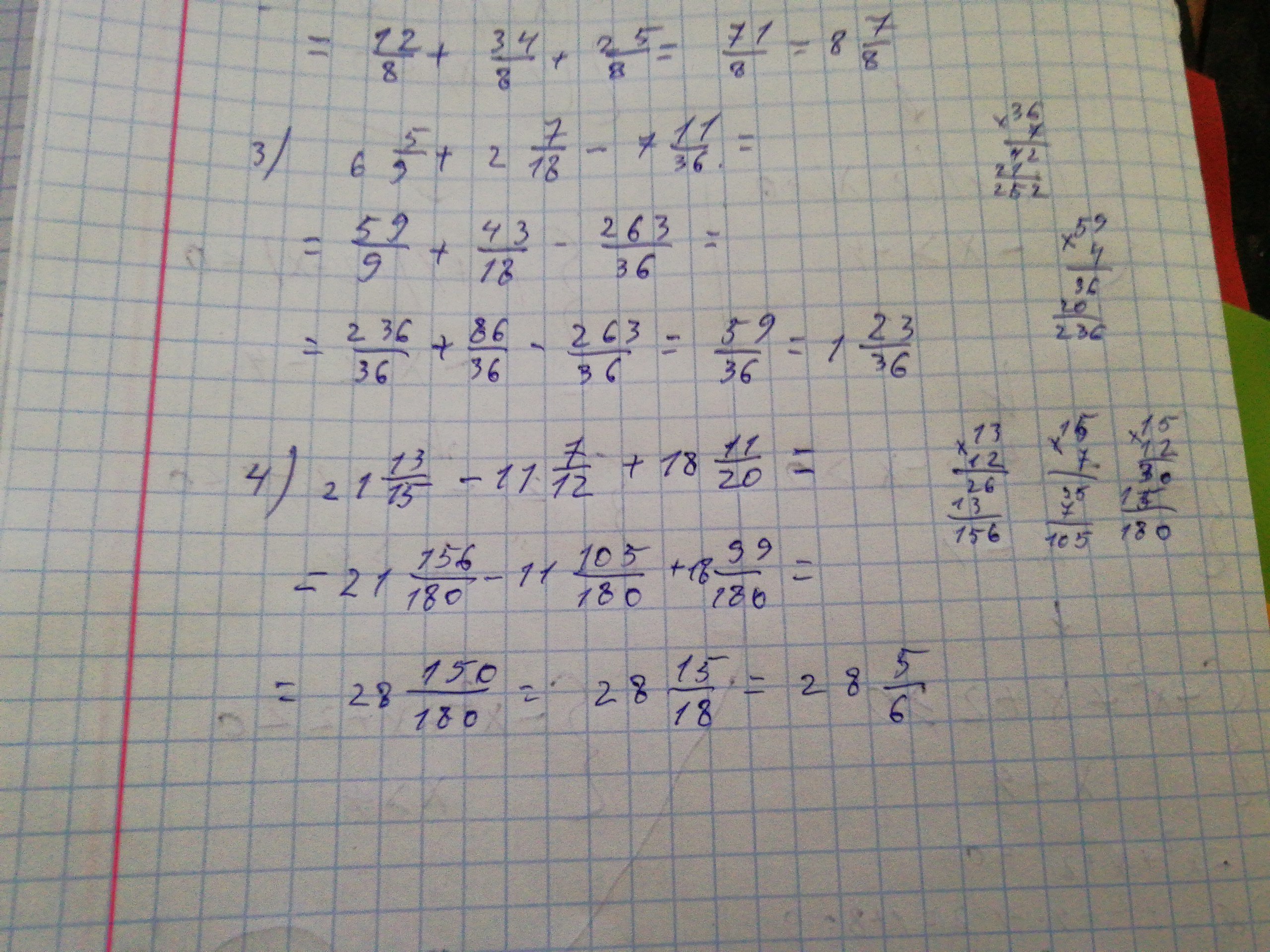
ответы без целой части:
1) 83/16
2) 71/8
Приложения:
Ответ дал: Filippzzz
0
я скинул 2 фото
Ответ дал: Аноним
0
Куда ты его скинул
Ответ дал: Аноним
0
скинь тогда еще раз я не увидела
Ответ дал: Filippzzz
0
2 фотографии выше в ответах)
Ответ дал: Filippzzz
0
я не могу ещё раз меня решение, смотри внимательнее
Вас заинтересует