Ответы
Ответ дал:
0
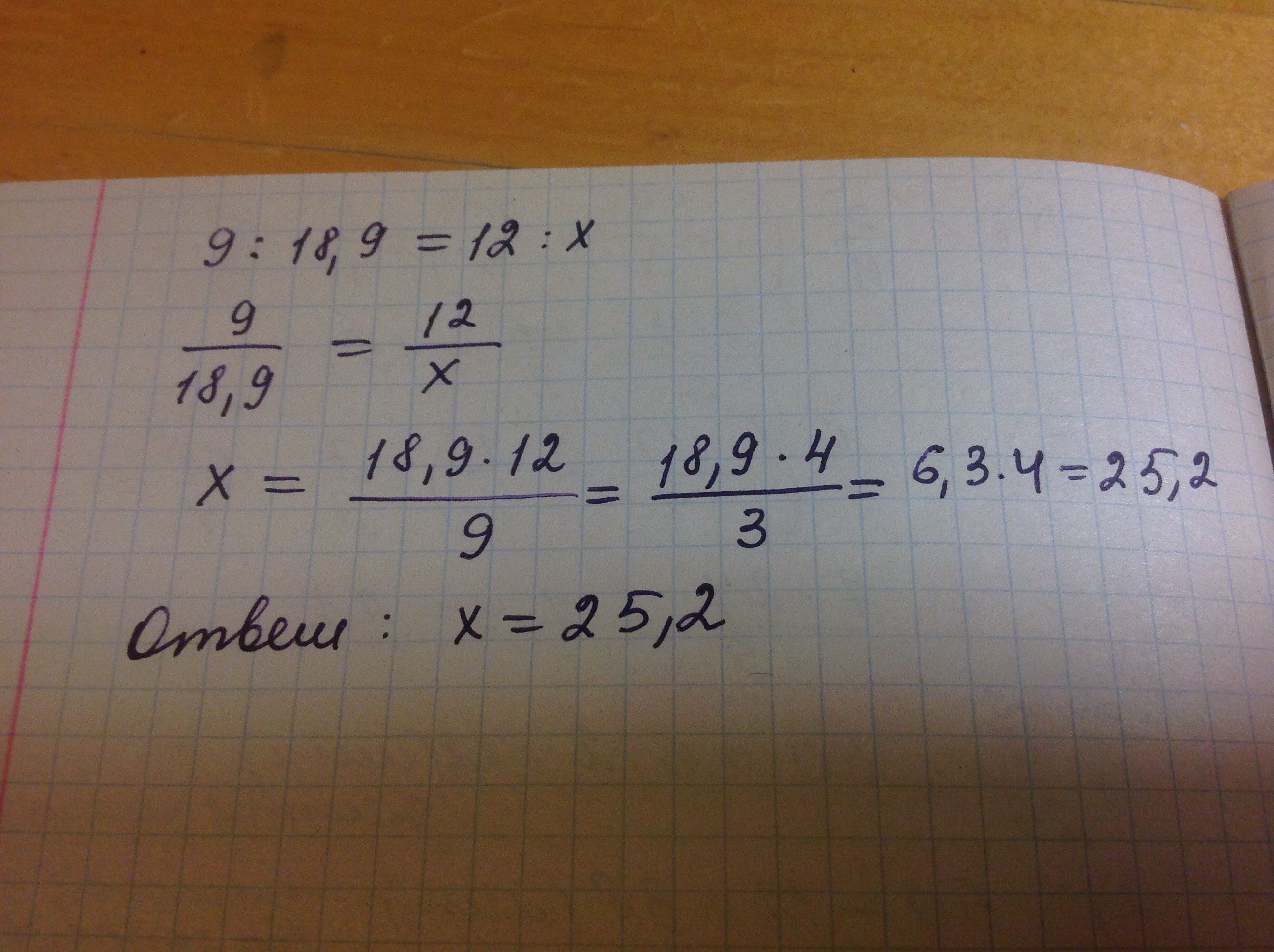
Произведение крайних членов пропорции равно произведению её средних членов:
9:18,9=12:х
9*x=18,9*12
9x=226,8
x=226,8:9
x=25,2
9:18,9=12:х
9*x=18,9*12
9x=226,8
x=226,8:9
x=25,2
Ответ дал:
0
Ответ смотри на фото
Приложения:

Вас заинтересует
2 года назад
3 года назад
9 лет назад
10 лет назад