Ответы
Ответ дал:
0
!!!!!!!!!!!!!!!!!!!!!!!!!?
Приложения:

Ответ дал:
0
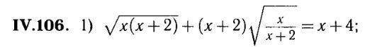
2√x(x+2)=x+4
{x(x+2)≥0⇒x≤-2 U x≥0
{x+4≥0⇒x≥-4
x∈[-4;-2] U [0;∞)
x(x+2)=(x+4)²
x²+2x=x²+8x+16
8x-2x=-16
6x=-16
x=-8/3
{x(x+2)≥0⇒x≤-2 U x≥0
{x+4≥0⇒x≥-4
x∈[-4;-2] U [0;∞)
x(x+2)=(x+4)²
x²+2x=x²+8x+16
8x-2x=-16
6x=-16
x=-8/3
Приложения:

Вас заинтересует
2 года назад
3 года назад
9 лет назад
9 лет назад
10 лет назад