• Предмет: Химия
  • Автор: Аниточка6661
  • Вопрос задан 9 лет назад

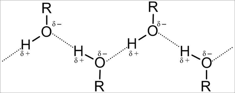
Напишите схему образования водородной связи на примере этанола.

Ответы

Ответ дал: Крадо
0
Схема водородной связи этанола
Приложения:
Вас заинтересует