Ответы
Ответ дал:
0
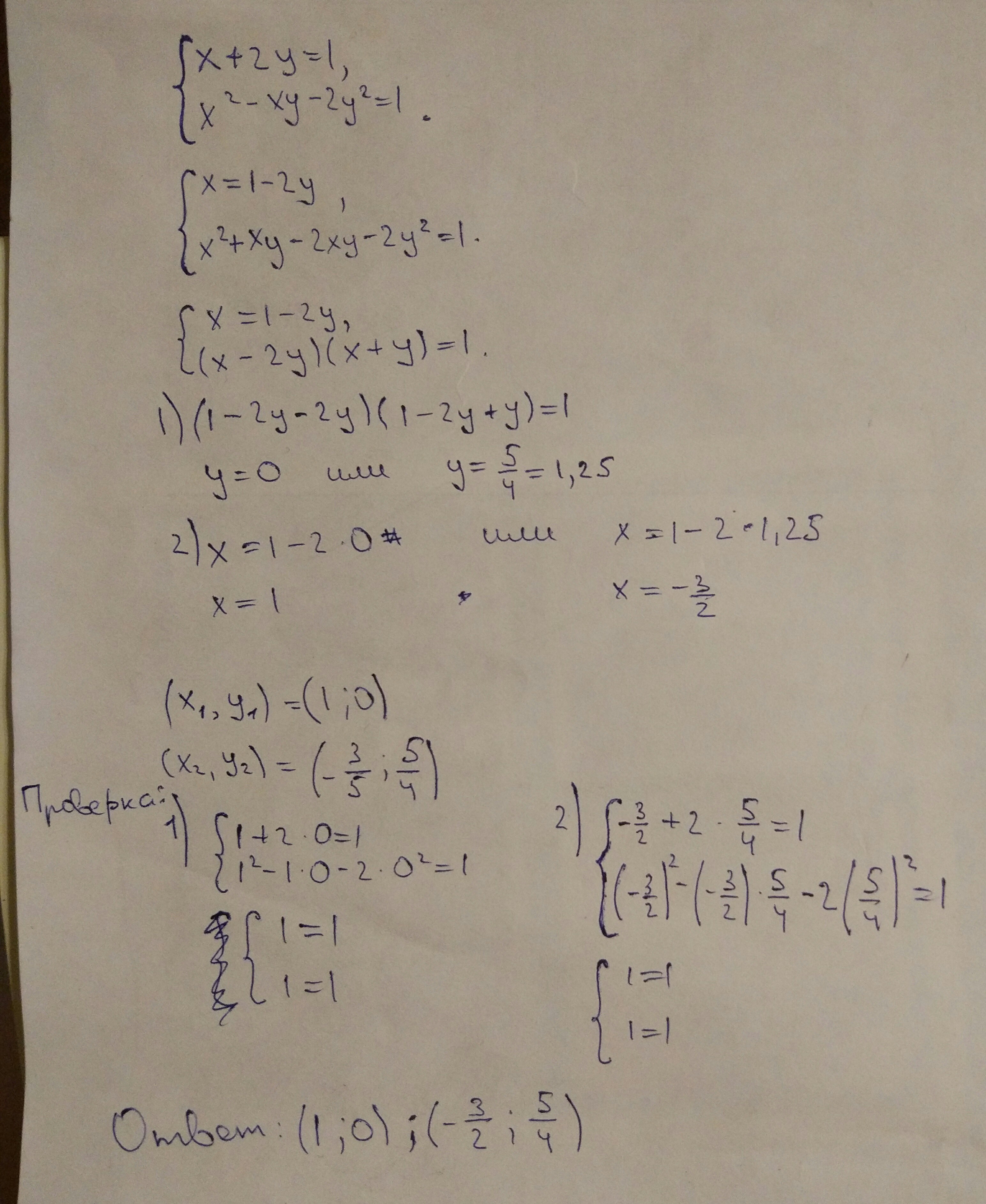
x+2y=1 x=1-2y
1-4y+4y^2--y+2y^2-2y^2-1=0
1-5y+4y^2-1=0
4y^2-5y=0
y(4y-5)=0
y=0 или 4y-5=0
4y=5
y=5/4
x=1 или x=1-2*5/4
x=-1,5
1-4y+4y^2--y+2y^2-2y^2-1=0
1-5y+4y^2-1=0
4y^2-5y=0
y(4y-5)=0
y=0 или 4y-5=0
4y=5
y=5/4
x=1 или x=1-2*5/4
x=-1,5
Ответ дал:
0
.....................
Приложения:

Вас заинтересует
2 года назад
2 года назад
3 года назад
3 года назад
9 лет назад
10 лет назад