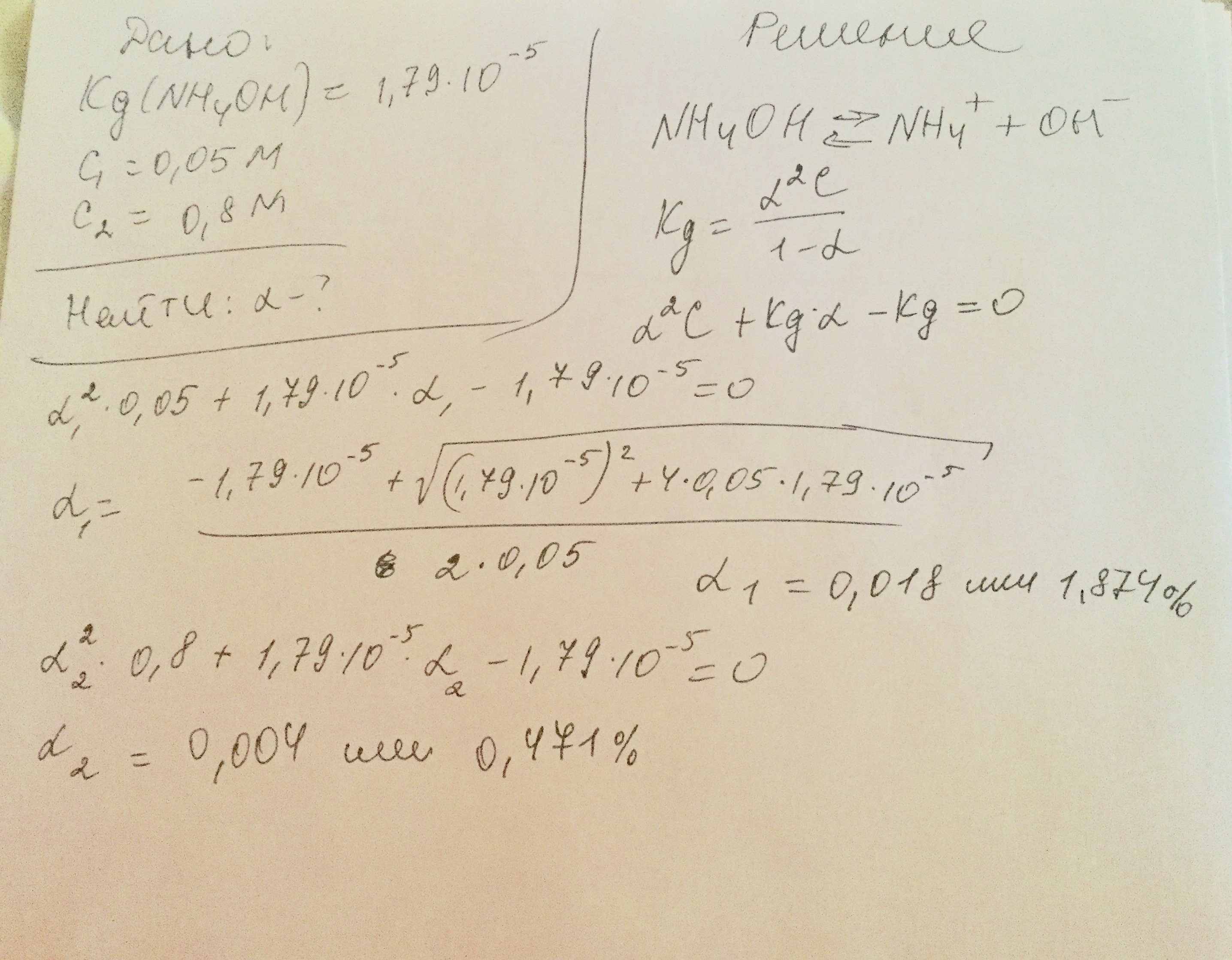
Помогите пожалуйста!!! Вычислите степень диссоциации 0,05 М и 0,8 М NH4OH. Как влияет концентрация раствора на степень диссоциации гидроксида аммония.
Ответы
Ответ дал:
0
Так как полученные значения намного меньше 1, то можно воспользоваться и упрощенной формулой:

Приложения:
Вас заинтересует
2 года назад
2 года назад
3 года назад
3 года назад
9 лет назад
9 лет назад
10 лет назад