• Предмет: Алгебра
  • Автор: МИша00188
  • Вопрос задан 9 лет назад

10 класс. Алгебра
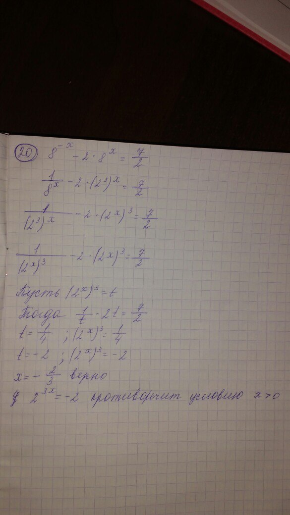
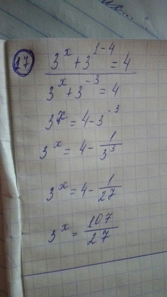
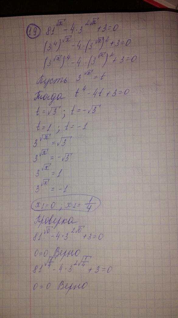
Помогите пожалуйста с номерами 17,19,20,25
Буду очень благодарен!

Приложения:

Ответы

Ответ дал: 777icecream777
0
Извини, систему уравнений №25 у меня не получается решить((
Приложения:
Вас заинтересует