Ответы
Ответ дал:
0
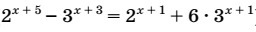
2^(x+5)-2^(x+1)=3^(x+3)+6*3^(x+1)
2^(x+1)*(16-1)=3^(x+1)*(9+6)
15*2^(x+1)=15*3^(x+1)
2^(x+1)=3^(x+1) разделим на 3^(x+1)
(2/3)^(x+1)=1
x+1=0
x=-1
2^(x+1)*(16-1)=3^(x+1)*(9+6)
15*2^(x+1)=15*3^(x+1)
2^(x+1)=3^(x+1) разделим на 3^(x+1)
(2/3)^(x+1)=1
x+1=0
x=-1
Вас заинтересует
3 года назад
3 года назад
9 лет назад
9 лет назад
10 лет назад