Ответы
Ответ дал:
0
I hope this helps you
Приложения:

Ответ дал:
0
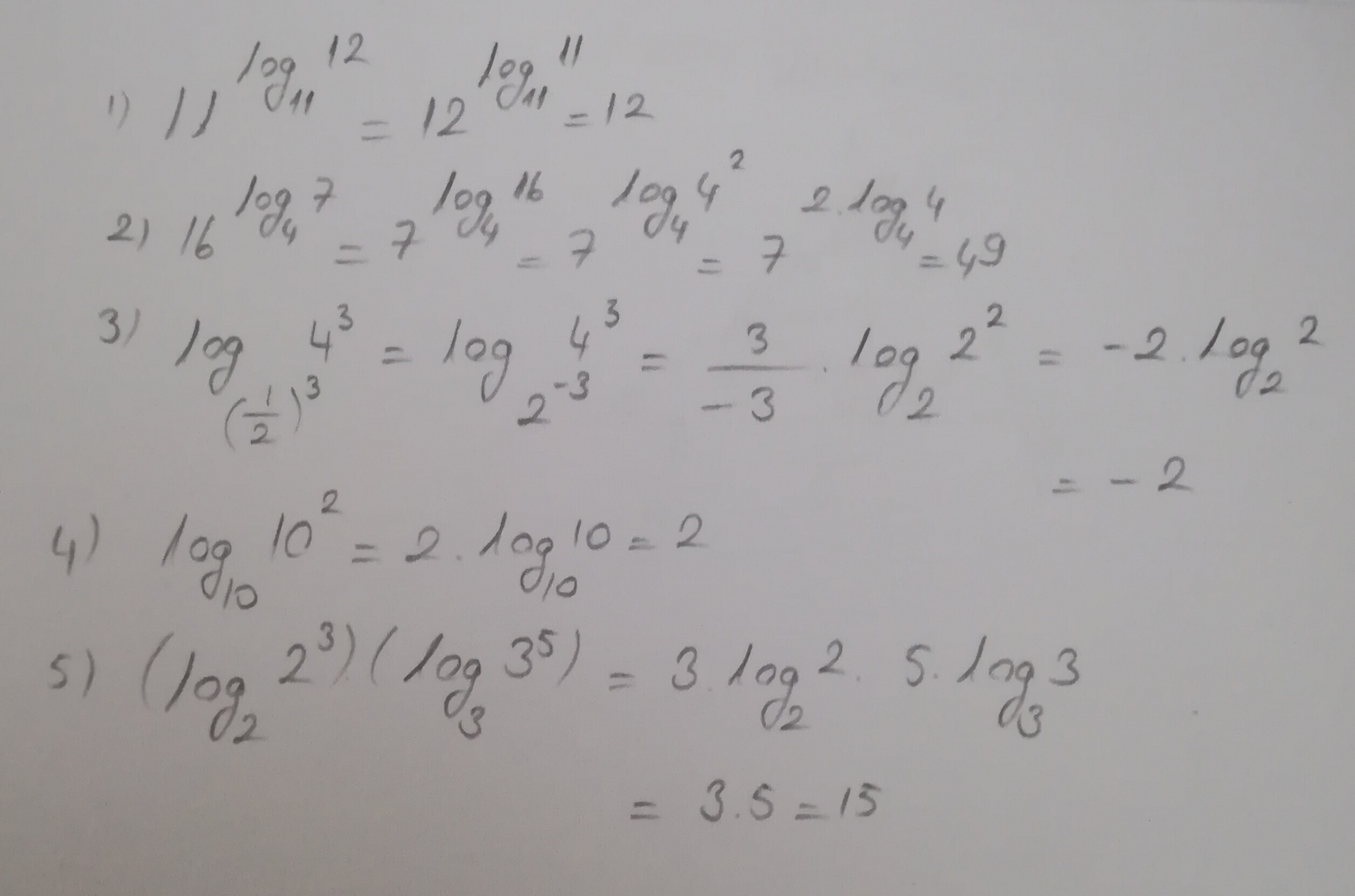
20*11^log11)12=20*12=240
16^log(4)7=4^2log(4)7=4^log(4)49=49
log(0,125)64=-2
log(10)100=2
log(2)8*log(3)243=3*5=15
16^log(4)7=4^2log(4)7=4^log(4)49=49
log(0,125)64=-2
log(10)100=2
log(2)8*log(3)243=3*5=15
Приложения:

Вас заинтересует
2 года назад
3 года назад
3 года назад
9 лет назад
9 лет назад
10 лет назад