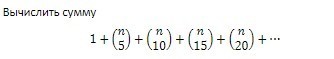
Вычислить сумму ряда, где (
) + (
)... - это биномиальные коэффициенты (это не дроби!!!)
Приложения:

Ответа на этот вопрос пока нет. Попробуйте найти его через форму поиска.
Вас заинтересует
2 года назад
2 года назад
3 года назад
3 года назад
9 лет назад
9 лет назад
10 лет назад