• Предмет: Алгебра
  • Автор: baryshevfoto
  • Вопрос задан 9 лет назад

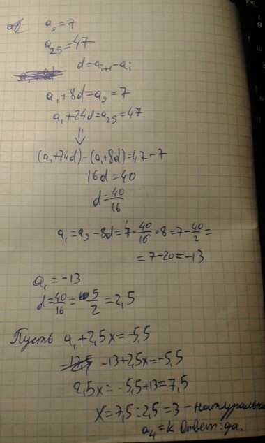
Выяснить, является ли число kч членом арифметической прогрессии а1,а2,....аn,,...., если а9=7 а25=47 k=-5,5

Ответы

Ответ дал: тимакк
0
)))))))))))))))))))))))
Приложения:
Вас заинтересует