N857 пмгите. Я не знаю что делать дальше с моей стороны и я не знаю что делать

Приложения:

Ответы

Ответ дал: Степан200312
0
ответы место цифр буквы
Приложения:
Ответ дал: assadtanada
0

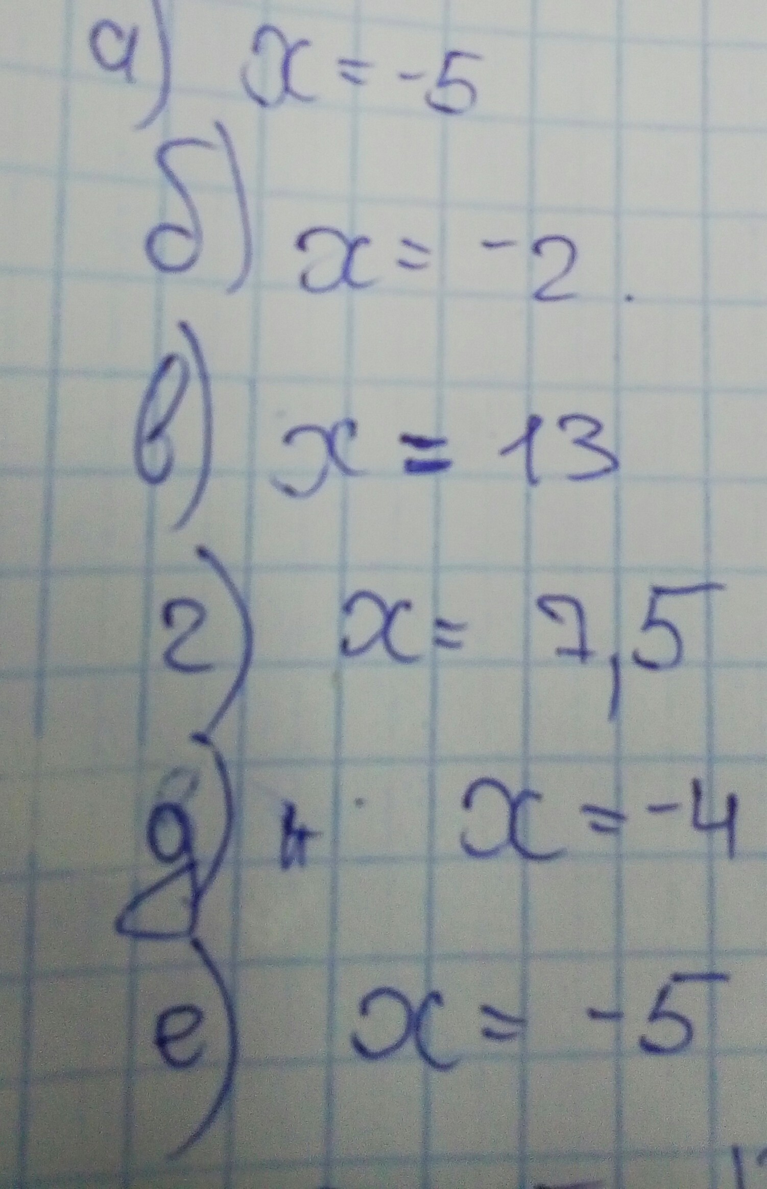
1) 2х+17=22+3х

-х=5

х=-5

2)18+3х=х+14

2х=-4

х=-2

3)25-4х=12-5х

х=13

4)13х+27=16х+4,5

-3х=-22,5

х=7,5

5)21х+45=17+14х

7х=-28

х=-4

6)13х+70=2х+15

11х=-55

х=-5

Приложения:
Вас заинтересует