• Предмет: Алгебра
  • Автор: Аноним
  • Вопрос задан 9 лет назад

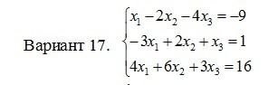
Срочно ребята помогите. Решить систему уравнений с помощью формул Крамера

Приложения:

Ответа на этот вопрос пока нет. Попробуйте найти его через форму поиска.

Вас заинтересует