Составьте уравнение прямой, симметричной прямой 6x-2y+7=0: а) относительно точки A(-3; 4); б) относительно точки B(2; -1)
Ответы
Ответ дал:
0
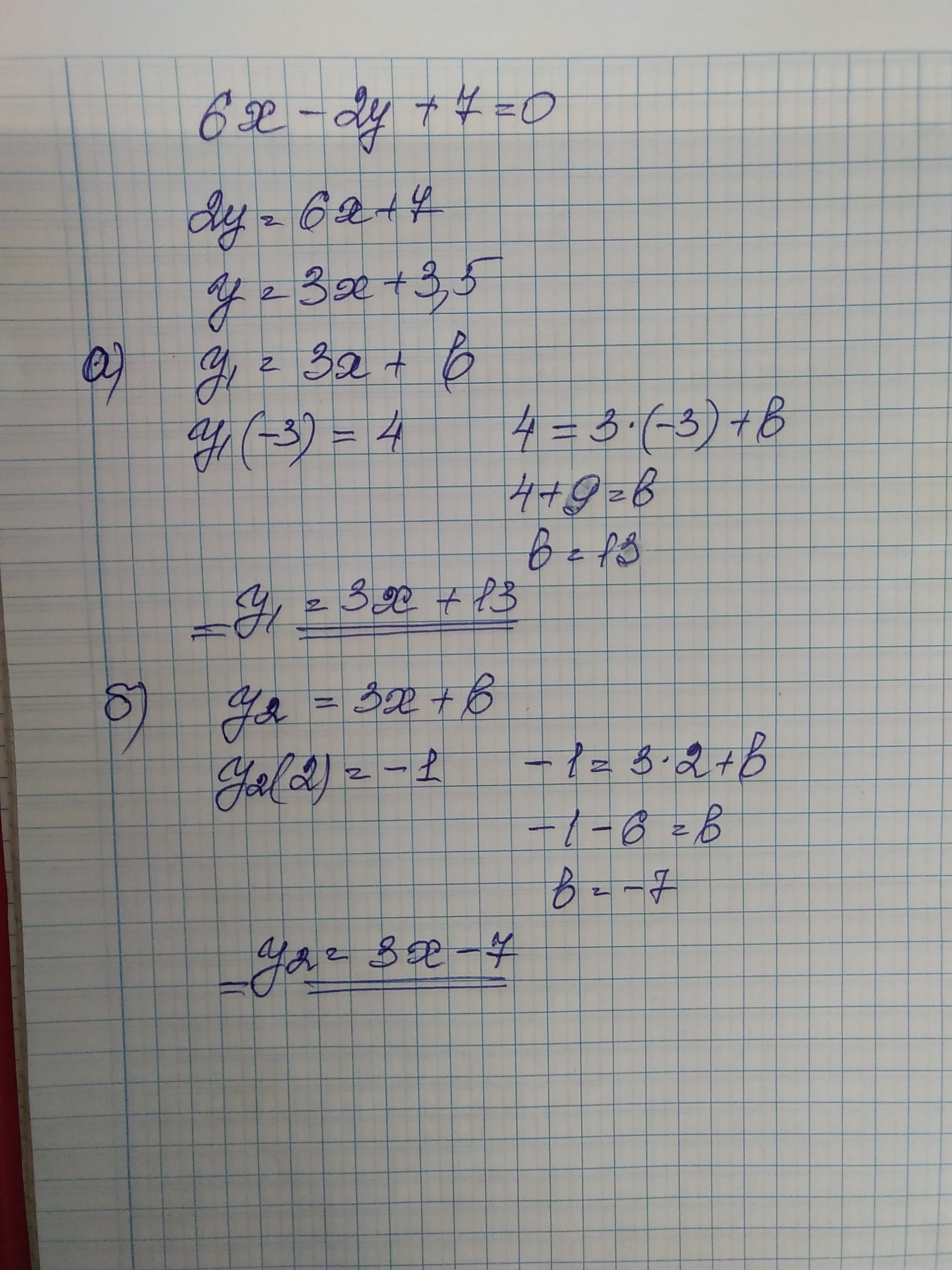
Симметричная ( в нашем случае относительно заданной точки) прямая это параллельная прямая, значит прямые будут иметь одинаковый угловой коэффициент k
y=kx+b
Решение в приложении
Приложения:

Вас заинтересует
2 года назад
3 года назад
9 лет назад
9 лет назад
10 лет назад