• Предмет: Математика
  • Автор: sakkyra3
  • Вопрос задан 9 лет назад

СРОЧНО !!!!!!ПОМОГИТЕ ПОЖАЛУЙСТА,40 БАЛЛОВ

Приложения:

Ответы

Ответ дал: ThaiGuide
0
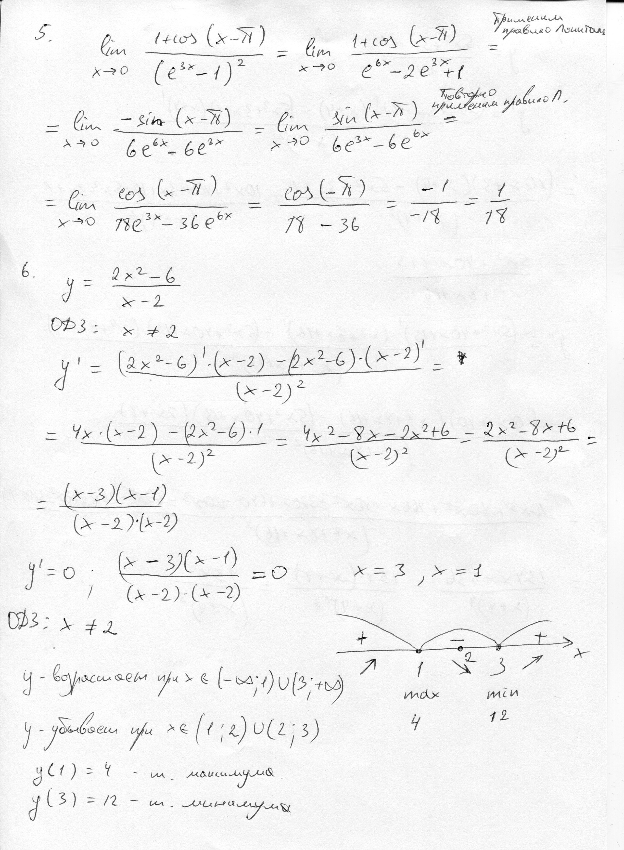
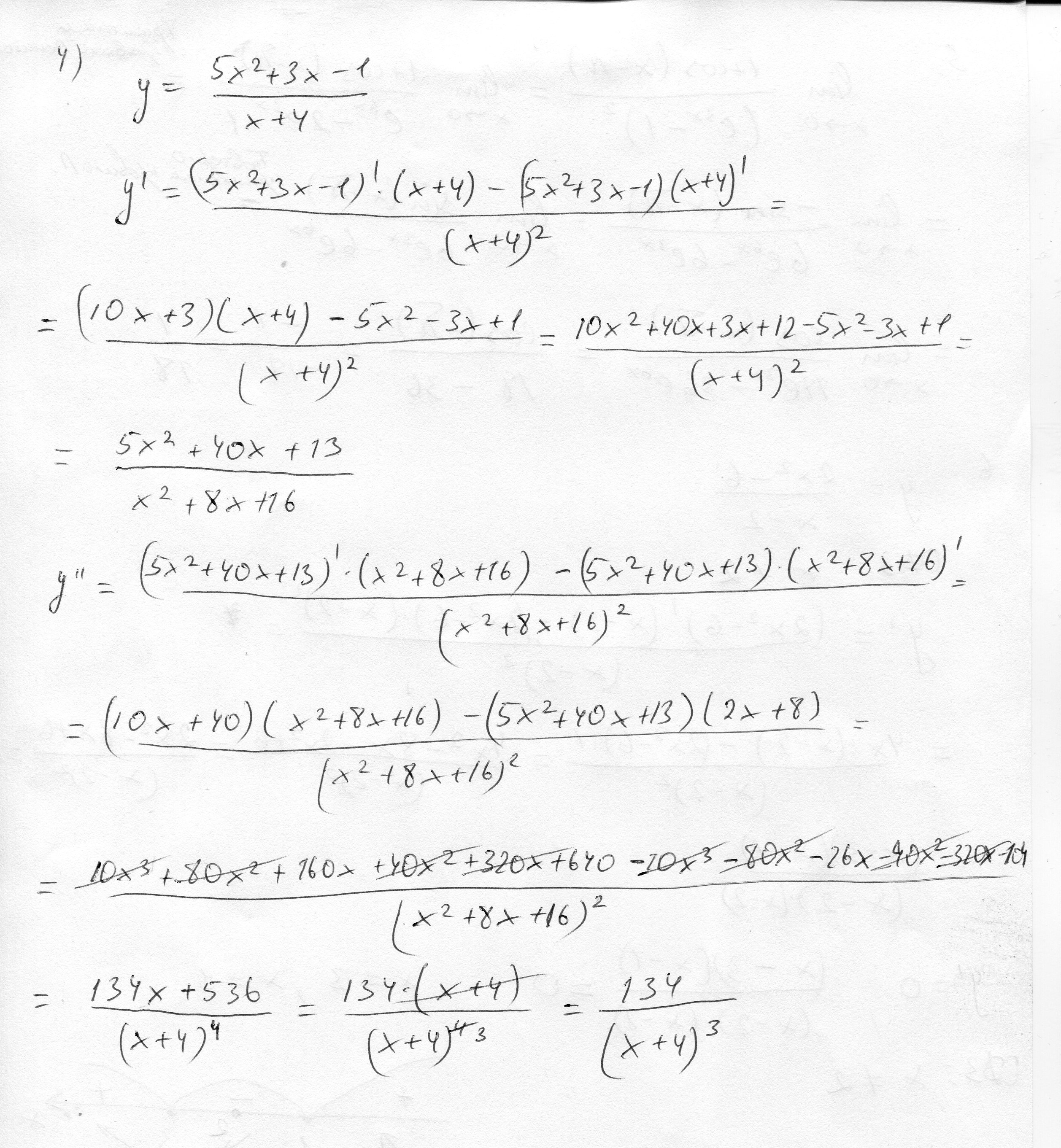
Сканы решений данных заданий
Приложения:
Ответ дал: sakkyra3
0
спасибо большое :3
Вас заинтересует