• Предмет: Алгебра
  • Автор: HoshiMom
  • Вопрос задан 9 лет назад

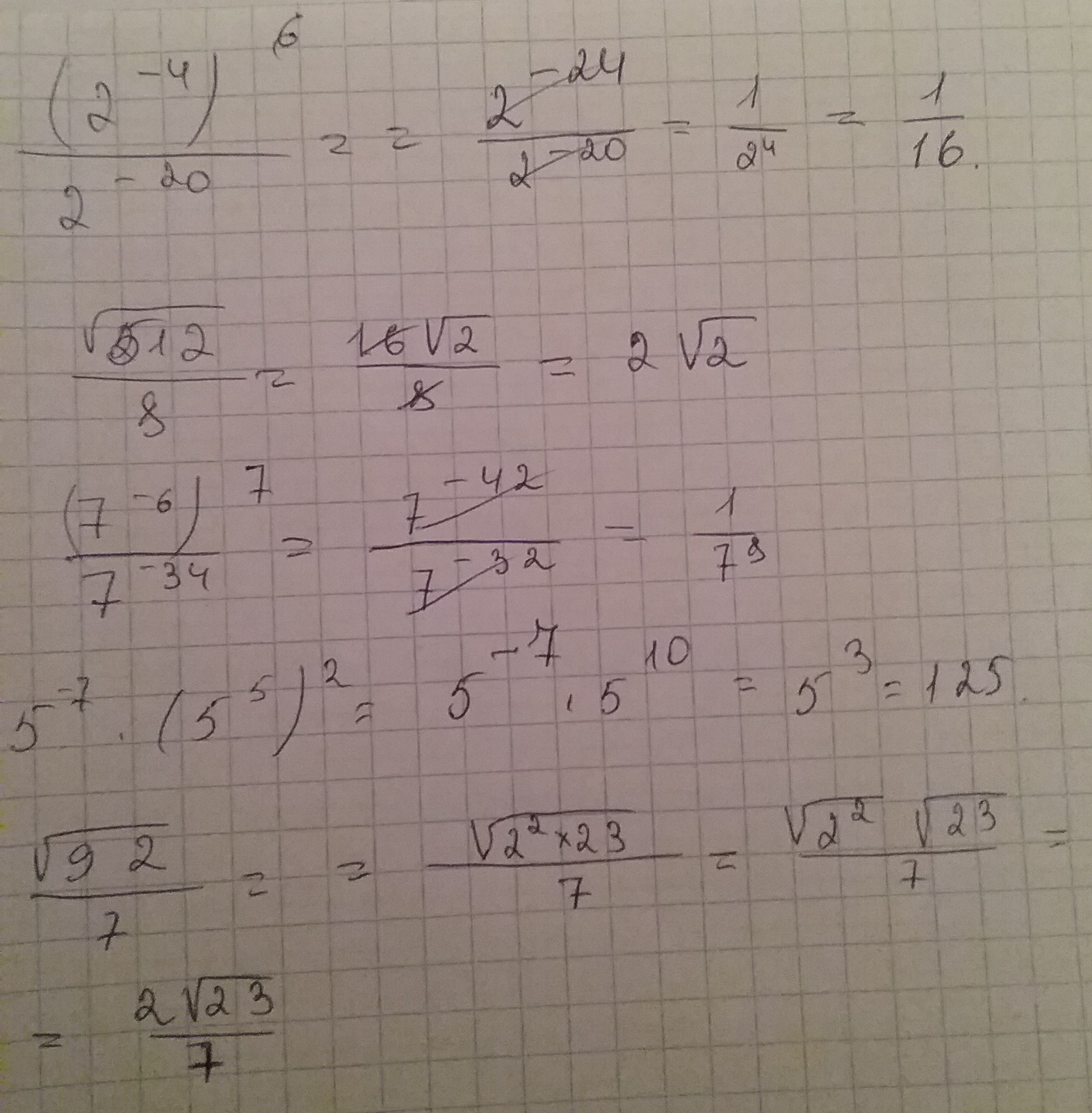
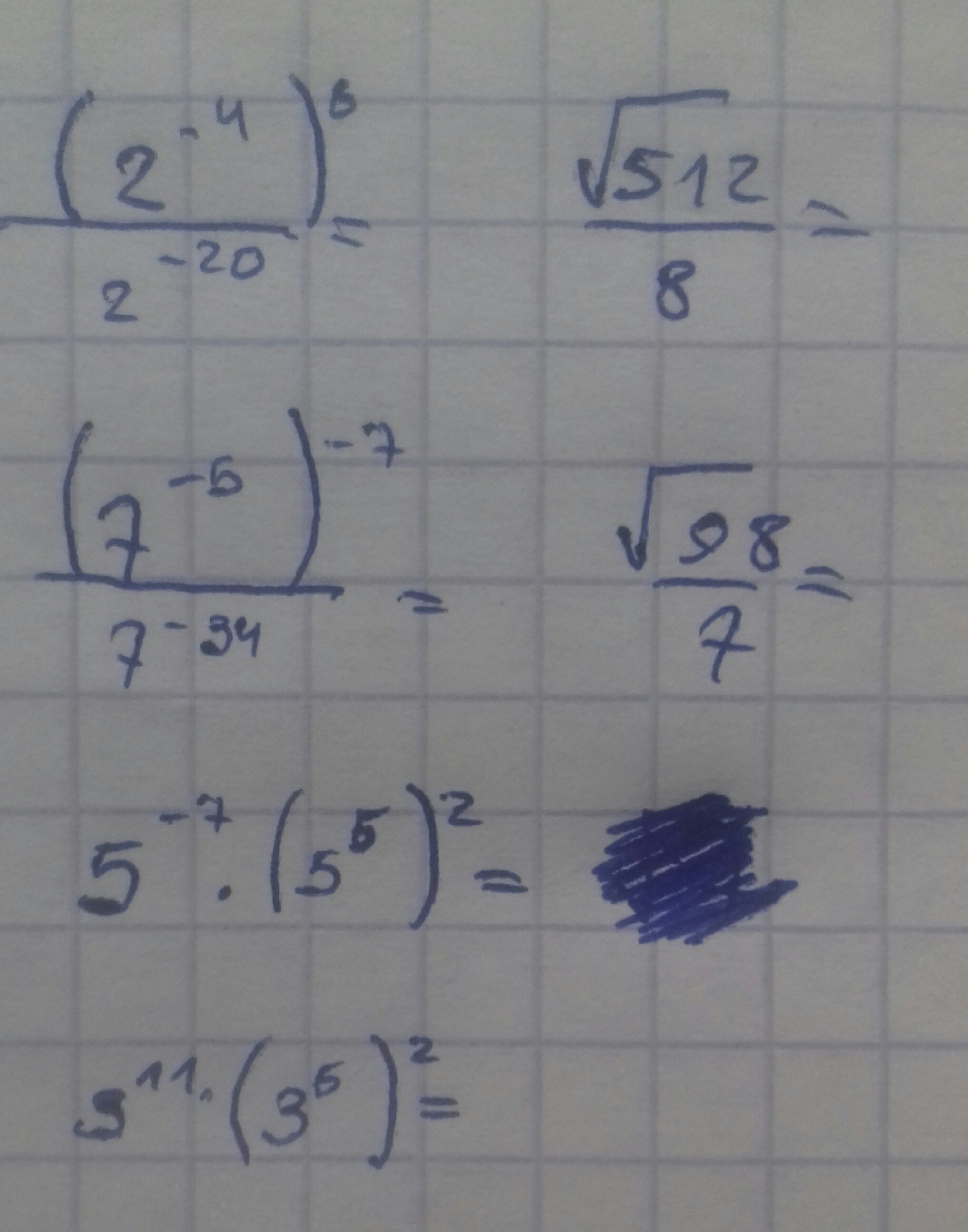
помогите пожалуйста,с решением

Приложения:

Ответы

Ответ дал: star130
0
задание зделано! пожалуйста! удачи!
Приложения:
Вас заинтересует