Ответы
Ответ дал:
0
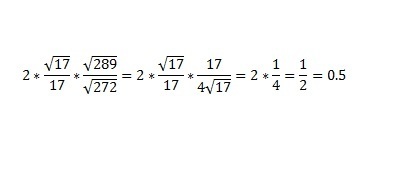
Смотри ответ в файле
Приложения:

Ответ дал:
0
и умножить на два)спасибо
Ответ дал:
0
а умножить на 2.
Ответ дал:
0
Изначально не было 2, но сейчас сделаю
Ответ дал:
0
было и до этого
Ответ дал:
0
исправила
Вас заинтересует
2 года назад
2 года назад
3 года назад
3 года назад
9 лет назад
10 лет назад