• Предмет: Математика
  • Автор: lucifer2019
  • Вопрос задан 9 лет назад

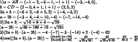
Даны точки A,B,C,D. Положим а=АВ, в=CD. Найти:
1) векторы с=2а+в и d=а-2в
2)модули векторов с и d
3)скалярное произведение (c,d)
4)векторное произведение [c,d]
5)угол между векторами c и d

Ответы

Ответ дал: sofyavladimiro
0
Вот..............!!!!
Приложения:
Вас заинтересует