• Предмет: Математика
  • Автор: sk2015186
  • Вопрос задан 9 лет назад

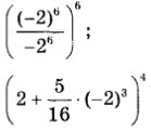
Помогите пожалуйста

Приложения:

Ответы

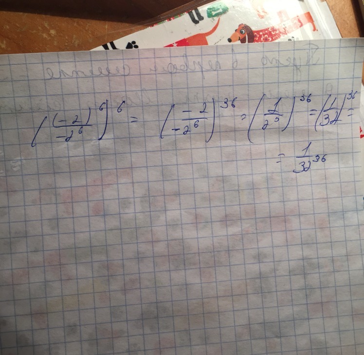
Ответ дал: lolaaaaa2
0
Это пока только на первый ответ.
Приложения:
Вас заинтересует