• Предмет: Математика
  • Автор: sk2015186
  • Вопрос задан 9 лет назад

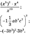
Помогите пожалуйста :)

Приложения:

Ответы

Ответ дал: m11m
0
!!!!!!!!!!!!!!!!!!!!!!!!!!
Приложения:
Вас заинтересует