• Предмет: Алгебра
  • Автор: паша12215
  • Вопрос задан 9 лет назад

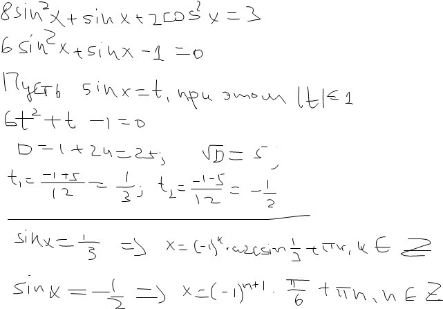
помогите пожалуйста в ответе должно получиться (-1)^n+1×p/6+pn.

Приложения:

Ответы

Ответ дал: Аноним
0
Здесь будет два ответа, а не один.
Приложения:
Ответ дал: Аноним
0
углы проверь, здесь все записано как надо и разберись в этих записях хотя бы для себя, подставляй конкретные n и считай
Ответ дал: Аноним
0
потому что такая запись ответов важна на экзаменах....
Ответ дал: паша12215
0
ладно , спс
Ответ дал: паша12215
0
за помощь
Ответ дал: Аноним
0
не мне...
Вас заинтересует