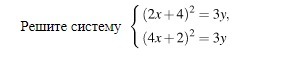
Прошу подскажите как решать.Я понимаю,что нужно приравнять. Получается х1=1/3 х2=1
Что делать дальше?
Приложения:

Ответы
Ответ дал:
0
Приравнять, раскрыть скобки (возводя в квадрат то, что написано) и решить квадратное уравнение
(2х+4)²=(4х+2)², а потом найти у1 и у2
4х²+16х+16=16х²+16х+4
12х²=12 х1=-1 х2=1 у1=у2=43
(2х+4)²=(4х+2)², а потом найти у1 и у2
4х²+16х+16=16х²+16х+4
12х²=12 х1=-1 х2=1 у1=у2=43
Ответ дал:
0
получается же вроде уравнение 3х2-4х+1=0
Ответ дал:
0
нет, члены, содержащие х, должны пропасть из-за симметричности коэффициентов в уравнениях (4 и 2: 2*2х*4 и 2*4х*2). а с неправильными решениями в учебниках уже сталкивалась миллион раз
Вас заинтересует
2 года назад
2 года назад
3 года назад
9 лет назад
10 лет назад
10 лет назад