Ответы
Ответ дал:
0
Ответ дал:
0
а можно пояснить, почему в 1-ом (2 в степени 5/2) в степени 2/5?
Ответ дал:
0
и почему во втором в -1 степени?
Ответ дал:
0
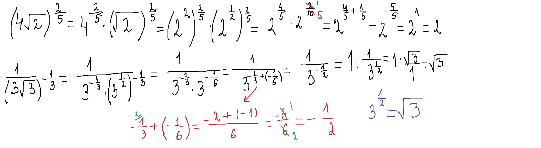
решение смотри внизу
Приложения:

Ответ дал:
0
спасибо!
Ответ дал:
0
все понятно?
Ответ дал:
0
да, более чем)
Ответ дал:
0
ну,хорошо!
Вас заинтересует
2 года назад
2 года назад
3 года назад
3 года назад
9 лет назад
9 лет назад
10 лет назад