• Предмет: Физика
  • Автор: andriei98aam
  • Вопрос задан 9 лет назад

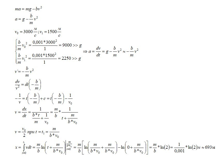
Метеорит массой 1 кг, влетевший в верхние слои атмосферы со скоростью V0 = 3 км/с, начинает испытывать силу сопротивления F = bV^2, где 0,001 кг/м. Какой путь пролетит метеорит в атмосфере к моменту «потери» половины скорости?РАСПИШИТЕ ПОПОДРОБНЕЕ ВСЁ РЕШЕНИЕ ЗАДАЧИ,ПОЖАЛУЙСТА)

Ответы

Ответ дал: IUV
0
смотри решение во вложении 
Приложения:
Ответ дал: andriei98aam
0
отправьте пожалуйста ещё раз вложение,у меня оно пропало
Ответ дал: IUV
0
там 2 вложения - рисунок и документ pdf
Вас заинтересует