Ответы
Ответ дал:
0
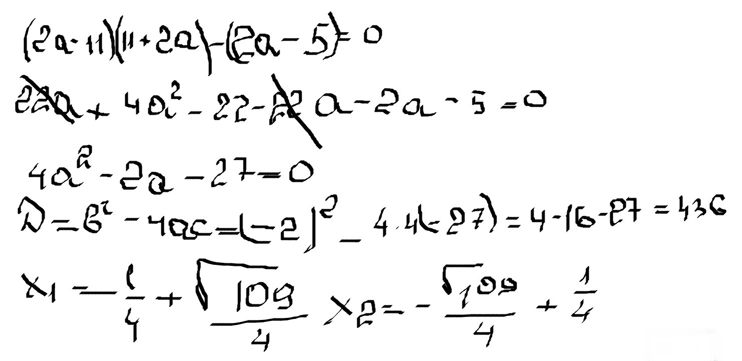
(2а-11)(11+2а)-(2а-5)в крадрате=0 решете уравнение
Приложения:

Вас заинтересует
2 года назад
2 года назад
3 года назад
3 года назад
9 лет назад