• Предмет: Математика
  • Автор: НиколаиСоболев
  • Вопрос задан 9 лет назад

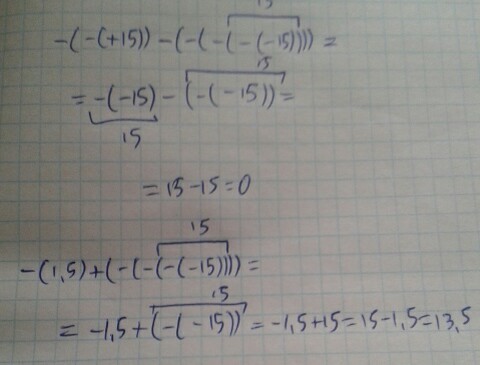
Вычислите:
1) –(–(+15))–(–(–(–(–15))));
2) –(1,5)+(–(–(–(–15)))).

Ответы

Ответ дал: тимакк
0
)))))))))))))))))))))
Приложения:
Ответ дал: rt03
0
1)–(–(+15))–(–(–(–(–15))))=+(+15)+(–(–(–15)))= 15+(–(–(–15)))= 15–15= 0
2)–(1,5)+(–(–(–(–15))))= –1,5+(–(–(–15)))=-1,5-15=-16,5
Приложения:
Ответ дал: TigerYa
0
Ошибка 2)
Ответ дал: тимакк
0
где
Ответ дал: тимакк
0
а понял..
Вас заинтересует