Ответы
Ответ дал:
0
Ответ на фотографии!
Приложения:

Ответ дал:
0
Спасибо
Ответ дал:
0
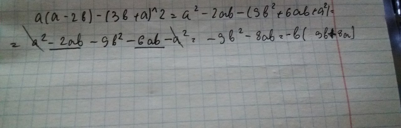
a^2-2ab-(9b^2+6ab+a^2)=a^2-2ab-9b^2-6ab-a^2= -9b^2-8ab= -b(9b+8a)
Приложения:

Вас заинтересует
2 года назад
2 года назад
3 года назад
3 года назад
9 лет назад
9 лет назад
10 лет назад