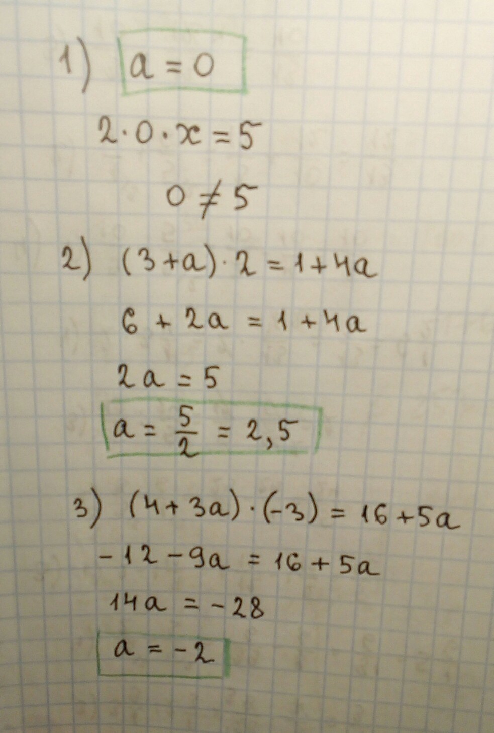
при каком значении a уравнение: 1) 2 ax=5 не имеет корней;2) (3+a)x =1+4a имеет корень, равный числу 2 ; 3) (4+3 a)x=16+5a имеет корень равный числу (-3)?
Ответы
Ответ дал:
0
фоточка тебе в помощь ;)
Приложения:

Вас заинтересует
2 года назад
3 года назад
3 года назад
9 лет назад
9 лет назад
10 лет назад