• Предмет: Алгебра
  • Автор: Аноним
  • Вопрос задан 9 лет назад

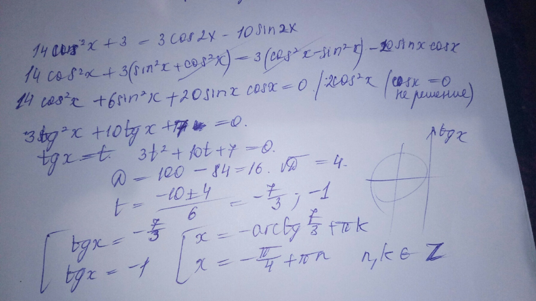
Решие тригонометрическое уравнение:
14cos^2 x + 3 = 3cos 2x – 10sin 2x

Ответы

Ответ дал: stsound
0
Смотри во вложении.
Приложения:
Вас заинтересует