• Предмет: Математика
  • Автор: Oyyo21
  • Вопрос задан 9 лет назад

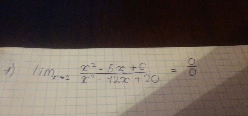
1) Предел

lim = x^2-5x+6
x - 2 x^2-12x+20. Получается 0/0, но что дальше делать непонятно.

Приложения:

Ответы

Ответ дал: Nataliek007
0
(х²-5х+6)(х²-12х+20) при х  стремящимся  к  2  Т  к  обе  функции  существуют  и  непрерывны  в  т  х=2,  то  можно  представить  их в  виде  произведения  множителей  с  корнями  соответствующих  квадратных  уравнений: (х-2)(х-3)(х-2)(х-10)=х-3х-10,  что  при подставлении х=2 дает
(2-3)(2-10)=18=0,125
Вас заинтересует