• Предмет: Алгебра
  • Автор: fffckkkkkkkkhh
  • Вопрос задан 9 лет назад

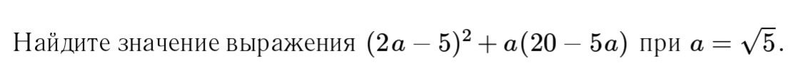
Найдите значение выражения
(2а-5)^2+а(20-5а) при а=КОРЕНЬ ИЗ 5

Приложения:

Ответы

Ответ дал: kati001
0
4a^2-20a+25+20a-5a^2=25-a^2=25-5=20
Вас заинтересует